後藤 敦 (GOTO, Atsushi)
マテリアル基盤研究センター 先端解析分野 固体NMRグループ
グループリーダー
E-mail:GOTO.Atsushi=nims.go.jp
([ = ] を [ @ ] にしてください)
研究内容
- 強磁場固体NMRの開発と物質・材料への応用
- 光ポンピング法を偏極源とした固体超偏極技術の開発
研究キーワード
核磁気共鳴、超偏極、光ポンピング、強磁場
【研究トピックス】半導体における光ポンピングNMRと光誘起核スピン-スピン結合:光照射下での二重共鳴NMR実験
ー 概要 ー
量子コンピューターとは、「量子力学」の原理を利用した新しい計算機の概念で、その実現により、現在の計算機では極めて長時間の計算が必要なため事実上解けないような問題を解くことが可能になると期待されています。固体NMR量子コンピューターは、固体 (主として半導体) 中の原子核スピンで量子ビットを構成する方式で、有望な「大規模」量子コンピューター方式の一つと見なされていますが、その実現にあたっては、量子ビット間の情報伝達を担う「核スピン間相互作用」を操作する手法の開発が課題となっています。本研究は、半導体中の核スピン間相互作用が、光のオン・オフという単純な方法で操作できることを見出したもので、固体NMR量子コンピューターの実現に貢献するものと期待されます。
- [Nature Highlight]"Optical nuclear coupling" (Nature Photonics, Vol.5, p.513)(外部サイト:Springer-Nature)
ー はじめに ー
NMR量子コンピューターは、物質の中にある原子核のスピンを量子ビットとして用いる方式で、量子コンピューター研究の黎明期から研究されている有力な方式の一つです。量子コンピューター実現に向けての課題の一つは、いかに多くの量子ビットを集積して大規模な計算を行うことができるか(スケーラビリティ)と言われています。その中で、半導体は、スケーラブルなNMR量子コンピューターのプラットフォームとして有力視されています。これは、アーキテクチャの構築に適した「ナノ加工技術」が確立されていることや、数時間オーダーの長い核スピン緩和時間に起因する長いデコヒーレンス時間(*1)など、半導体ならではの特性によるものです[1]。加えて、核スピンの光学的制御が可能であることも重要な要素です。下記で述べる「光ポンピングNMR法」を用いることで、初期化(*2)された核スピン量子ビットとして機能する超偏極核スピン状態(*3)が生成可能です[2,3]。この手法の利点は、初期化完了後に光をオフにするだけでノイズ源となる光励起電子を容易に消去できる点にあります。さらに、量子計算の必須条件である「二量子ビット操作」が光で実現できることも半導体ベースのNMR量子コンピューターの大きな特長となっています。
(*1) 量子的な重ね合わせ状態(干渉性)を保てる時間的な限界。これが長い方がより長い計算時間を確保できるため有利です。
(*2) 量子計算を行う前に全ての量子ビットをゼロ状態にリセットすること。算盤における「ご破算に願いましては」の状態です。
(*3) 熱平衡状態を超えて多数の原子核スピンの向きが一方向に揃う現象。これにより、超高感度NMR測定が実現します。
二量子ビット操作には、核スピン間の相互作用(核スピン-スピン結合)を用います[1,4,5,6,7]。核スピン–スピン結合には、直接(核双極子)結合と間接(電子媒介)結合の2種類がありますが、従来の溶液型NMR量子コンピューターでは主に直接結合が利用されてきました。しかし、この相互作用は常に作用してしまうため、二量子ビットゲートをオフにする際には双極子デカップリングやリカップリング技術による制御が必要となるという課題があります[7]。一方、間接結合は電子によって媒介されるため、電子の状態を制御することでその強さを制御することが可能になると期待されます。特に、半導体では結合を媒介する自由電子がもともと存在しないため、間接結合はデフォルトでオフとなっており、ここに、光学的に電子を発生させることで、結合のオン/オフ制御が可能となります。「光誘起核スピン–スピン結合」と呼ばれるこの相互作用は、半導体ベースのNMR量子コンピューターに新たな利点をもたらします[8,9]。
光誘起核スピン–スピン結合は、代表的な化合物半導体である砒化ガリウム(GaAs)における光ポンピング下での交差分極(Cross Polarization: CP)実験で初めてその存在が示され[8]、その後、スピンエコー二重共鳴(Spin Echo Double Resonance: SEDOR)実験でも確認されています[9]。SEDOR実験では、光照射時にエコー減衰率の変化が観察され、これは異種核スピン–スピン結合の変化によるものと解釈されています。CP法とSEDOR法はいずれも二重共鳴NMR法であり、超偏極核間の結合情報を得ることができます。
ここでは、半導体中の核スピン系に対する光学的効果を概説し、その特性解明に用いる二重共鳴NMR実験について紹介します。ここで述べた実験の詳細については文献[8,9]を、装置構成等については文献[10]を参照してください。
ー 半導体中の核スピンに対する光誘起効果 ー
(1) 光ポンピングNMR
フランス人物理学者、G.ランペルが最初にそのもととなる現象を発見して以来[11]、光ポンピングNMRは半導体の世界でとても効果的な「超偏極」を実現する方法として注目され、広く使われています。以下では、光ポンピングNMRがどうやって起こるのかを簡単に説明します[2,3]。
まず、半導体が持つバンドギャップにちょうど合ったエネルギーの円偏光(くるくる回るような性質の光)を当てると、価電子帯から伝導帯に電子がジャンプします(特にΓ点という場所で起こります)。伝導帯に上がった電子はスピンの向きがそろっていて、これを「電子スピン偏極」と呼びます。励起された電子は長くは生きられず、じきに消滅しますが、温度が十分に低い(数十ケルビン以下)と電子が消滅するまでの間に電子スピンの“偏り(正味のスピン)”が残り、この偏極が核スピンにも伝わっていきます。ただし、この伝達のプロセスでは、光で励起された電子を細かくコントロールしているわけではないので、スピン偏極の伝達は結構ゆっくり進みます。そのため、核スピンを偏極するのに、通常は数分、ときには数時間もかかります。ちなみに、マイクロ波を使って電子スピンを積極的にコントロールする「動的核偏極法」では、偏極伝達はもっとずっと速く進みます。
図1は、非ドープGaAs(不純物なしのGaAs)で観察された光ポンピングNMRの例です。実験では、10 Kという低い温度で、GaAsのバンドギャップにちょうど合った(約1.5 eVの)右円偏光をあててから、71Gaの信号を測ります。このときGaのNMR信号はマイナス方向に大きくなっていて、これは「核スピンの向きが熱平衡とは反対方向に揃った」ことを表しています。
図1. 実線:非ドープGaAsに赤外光(σ+、826 nm、120 mW)を2分間照射した後に測定した71Gaの光学ポンピングNMRスペクトル。周波数:121.9762 MHz、磁場:9.39 T、温度:10 K。破線:光を照射しない場合のスペクトル。
(2) 光誘起核スピンースピン結合
光誘起核スピン–スピン結合は、光ポンピングと同じく、半導体のバンドギャップ近くのエネルギーを持った光を当てたときに現れます[8,9]。光のパワーを上げていくと、結合がどんどん強くなり、遠くまでその影響が届くようになります。ちなみに、金属の世界では、こうした間接的な結合は「ルーダーマン–キッテル型相互作用」と呼ばれていて[12]、2つの核スピンの距離によって結合の強さが振動する(波のように変わる)特徴があります。光で誘起される結合もよく似た性質を持っていますが、面白いことに、この場合の“振動の周期”は光のパワーによって変わる、という違いがあります。
ー 光照射下での二重共鳴実験 ー
(1) 光照射下での交差分極(CP)実験
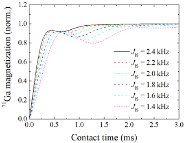
光誘起核スピン–スピン結合は、光ポンピング条件下での非ドープGaAs中の71Ga核と75As核の間で行った交差分極(CP)実験により、初めて発見されました[8]。60秒間の光照射で、光ポンピング効果によって75As核のスピン偏極度が蓄えられ、続いて光照射下で行う交差分極プロセス(*4)によって、その偏極が71Ga核へと受け渡されます。このとき、71Ga核の偏極度は接触時間(*5)に応じて振動し、そのピークの位置は光のパワーが強くなるほど接触時間が短い方向に移動していきます。ざっくり言うと、ピークが現れるタイミングは交差緩和時間と呼ばれる時間に対応していて、これは異種核間接結合と深く関係しています。
(*4) 2種類の核スピンが互いに相互作用できるように実効的な「共鳴周波数=エネルギー」を同じに調整すること。
(*5) 交差分極状態が保たれている時間。この間、2種類の核スピンは熱的に「接触」した状態になります。
図2(a)は、このような過渡振動を簡単にシミュレーションしたものです。異種核間相互作用が強くなるほど、振動のピークはより短い接触時間の方にずれていきます。(b)は実際の実験で得られたデータです。光パワーが強くなるほど、複数のピークが次々と現れ、その位置も短い接触時間の方へとシフトしています。これらのピークは、たとえば第一近接原子、第二近接原子…といった具合に、それぞれ特定の原子集団に対応しています(c)。この結果から、光誘起核スピン間結合の届く範囲が光パワーを上げると広がっていくことが読み取れます。
-
(a) -
(b) -
(c)
図2(a) 異種核間カップリング(JIS)が異なるGaAsにおける交差分極実験の簡易シミュレーション。簡略化のため、CPの相関時間は一定と仮定している。(b) 交差分極(CP)実験における71Ga磁化の接触時間依存性。10 Kにて、照射光パワーを0~200 mWの範囲で変化させて測定した。黒、赤、青の矢印はそれぞれ三つの系列の極大値を示している。(c) 図2(b)の実験データを補間し、三次元的に表現したもの。黄色い矢印が示すデータは光非照射時のもので、これは通常のスピン-スピン結合による最近接原子への偏極移動に対応する。黒色(α)および赤色(β)の矢印はそれぞれ第2および第3近接サイトへの偏極移動に対応する極大値系列と考えられる。点線は接触時間 0.7 msでの71Ga磁化を示し、約80 mW付近でプラトー状(すなわち傾きが緩やかになる)特徴が現れている。(Figs. (b) and (c) are reproduced from Ref. [8] under the terms of the CC BY 4.0 license.)
(2) 光照射下でのスピンエコー二重共鳴(SEDOR)実験
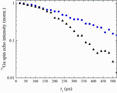
光誘起核スピン–スピン結合の全体像を明らかにするために、光を照射した状態でスピンエコー減衰実験を行いました[9]。スピンエコー減衰測定は、原子核スピン間に働く相互作用の大きさを検出する手法です。標準的なスピンエコー減衰測定では、単一の原子核(今回はガリウム核:71Ga)に対して90度ー180度に対応する2パルス(ハーンエコー)シーケンスを用います。一方、SEDOR実験では、71Gaに加えて、ヒ素核(75As)に対しても71Gaと同じタイミングで180度パルス(P3)を加えます。P3パルスがない場合(標準的なスピンエコー減衰測定)では、71Ga核スピン同士の結合だけがエコー減衰に影響しますが、P3パルスを加えると、71Ga核スピン同士の結合に加え、75Asと71Gaの異種核間結合もエコー減衰に寄与するようになります [13]。つまり、P3パルスは、異なる種類の核同士(75Asと71Ga)の結合をオン・オフできるスイッチの役割を果たしており、P3パルスがある場合とない場合を比べることで、同種核結合と異種核結合の効果を区別できるのです。
実験では、2つの異なる光パワー強度でエコー減衰の様子を測定し、光を当てない場合と比較しました。図3は、光を当てて行ったSEDOR実験の一例です。エコーのピーク強度が遅延時間(パルスとパルスの間の待ち時間:t1)に対して振動する様子も観測されましたが、これは四重極相互作用が原因であり、エコー減衰とは直接関係ありません。そこで、この振動の影響を考慮して、正確な減衰時間(T2)を求めています。
SEDOR実験の結果(図3(b))から、光パワーを上げるほどエコーの減衰率(1/T2)が小さくなることが分かりました。これは、同種核と異種核の結合の合計が、より弱くなったことを意味しています。一方で、通常のハーンエコー減衰実験(図3(c)では、1/T2の変化は小さく、71Ga原子核同士の結合はほとんど変化しないことが分かりました。つまり、光パワーを上げることで減少したのは、主に異種核結合(71Ga - 75As)の方だということです。
これらの結果と、先ほど紹介したCP実験の結果[8]を合わせて考えると、この光パワーの範囲内では、結合は主に最も近い75As核だけに及んでいることが分かります。また、異種核結合(71Ga - 75As)が減少したのは、光によって誘起された結合と、もともとの双極子結合が打ち消し合っているためで、これら2つの結合の符号(向き)が逆方向であることもわかりました。
-
(a) -
(b) -
(c)
図3(a) 光を照射しない状態で、Sスピン反転(P3)パルスの有無(あり:▲、なし:■)により測定した、正規化スピンエコー減衰過程の片対数プロット(10 K、繰り返し時間20分)。(b), (c) 光照射下におけるSスピン反転(P3)パルスあり(b)、なし(c)で測定した正規化スピンエコー減衰過程と、(a)で示した非照射時のデータ(10 K、照射時間5分)。●およびΔは、それぞれ約173 mW/cm² および 346 mW/cm²の光強度での測定値。(c)の縦軸はリニアスケールで表示されていることに注意。(Reprinted from Ref. [9] under the terms of the CC BY 4.0 license.)
ー まとめ ー
本稿では、半導体中の核スピン系に及ぼす2つの光学的効果、すなわち光ポンピングによる超偏極と、光誘起による核スピン間結合について紹介しました。これらの効果はいずれも、バンドギャップに対応するエネルギーの光を照射することで現れます。これら2つの現象は、半導体を使ったスケーラブルなNMR量子コンピューターを実現するうえで重要な役割を担うことが期待されます。また、光誘起結合の特性を明らかにするために、CPやSEDORなどの二重共鳴NMR実験が有効であることも示しました。二重共鳴NMRは、核スピン間の結合を詳しく調べるための強力な手法であるといえます。
謝辞
本研究は、JSPS科研費の助成を一部受けて実施したものです。
参考文献
[1] B.E. Kane: Nature 393 , 133 (1998).
[2] R. Tycko and J. A. Reimer: J. Phys. Chem. 100, 13240 (1996).
[3] S. E. Hayes, S. Mui and K. Ramaswamy: J. Chem. Phys. 128, 052203 (2008).
[4] I. L. Chuang, N. Gershenfeld and M. Kubinec: Phys. Rev. Lett. 80, 3408–3411 (1998).
[5] J. A. Jones, and M. Mosca: J. Chem. Phys. 109, 1648 (1998).
[6] L. M. K. Vandersypen, M. Steffen, G. Breyta, C. S. Yannoni, M. H. Sherwood and I. L. Chuang: Nature 414, 883 (2001).
[7] A. Goto, T. Shimizu, K. Hashi, H. Kitazawa and S. Ohki: Phys. Rev. A 67, 022312 (2003).
[8] A. Goto, S. Ohki, K. Hashi and T. Shimizu: Nat. Commun. 2, 378 (2011).
[9] A. Goto, S. Ohki, K. Hashi and T. Shimizu: npj Quant. Inf. 8, 59 (2022).
[10] A. Goto, S. Ohki, K. Hashi and T. Shimizu: Jpn. J. Appl. Phys. 50, 126701 (2011).
[11] G. Lampel: Phys. Rev. Lett. 20, 491 (1968).
[12] M. A. Ruderman and C. Kittel: Phys. Rev. 96, 99 (1954).
[13] C. P. Slichter: Principles of Magnetic Resonance (Springer-Verlag, Berlin, 1990) 3rd ed., Chap. 7.21, p. 311.
This page is based on the following article, with some parts omitted and reorganized:
A. Goto et al., "Optical Pumping NMR and Optically Induced Nuclear Spin–Spin Couplings in Semiconductors: Double Resonance NMR Experiments under Light Illumination", JPS Conf. Proc. 38, 011185 (2023), DOI:10.7566/JPSCP.38.011185.
This work is licensed under a Creative Commons Attribution 4.0 International License (CC BY 4.0).
Note: Parts of Figs 2 and 3 are reproduced from references [8] and [9], respectively, as indicated in each caption.






