研究内容
研究内容
1.イオニック・ナノアーキテクトニクス
固体イオニクスデバイスは、外部電圧で固体内部のイオンの動きや電気化学反応をナノメートル・原子レベルで制御することで動作します。イオンの種類や材料の境界構造を工夫することで、従来の半導体素子にはない新しい特性を実現できます。このようなイオンの制御技術を「イオニック・ナノアーキテクトニクス」と呼んでいます。
1.1 イオニック・ナノアーキテクトニクス技術を用いた多様な固体イオニクス素子
我々が開発している代表的な素子構造と動作原理を図1に示します。
1.図1(a)の素子は、電極間にイオン伝導体または混合伝導体を挟んだ構造で、電圧をかけて導電性フィラメントを形成・消失させることで、抵抗変化を実現します。これにより、量子化コンダクタンス原子スイッチ、不揮発性メモリ、人工シナプス、耐放射線スイッチが開発されています。
2.図1(b)の素子は、混合伝導体と不活性電極から成り、電圧をかけることでショットキー障壁を調整し、可変ダイオードなどとして機能します。
3.図1(c)の素子は、トランジスタ構造であり、電圧をかけることで電気二重層を形成し、On/Offスイッチやアナログ抵抗変化などの電気特性が得られます。
4.図1(d)の素子は、トランジスタ構造であり、電気化学反応を利用して機能性材料の表面原子の脱着を制御することによって多様な光学・電気特性が得られます。
5.図1(e)の素子では、電圧をかけることでイオンを挿入または抽出することによって多様な電気特性が得られます。
6.図1(f)の素子は、イオン伝導体表面に配置された電極を用いて、集積イオン数を電圧で計測することによって情報学習・記憶などの機能を実現します。
これらの素子は、従来の半導体素子と同様の積層構造を有し、同一製造プロセスで製造可能です。

2.原子スイッチ
イオンの動きや電気化学反応を原子レベルで制御することで動作する「原子スイッチ」を世界で初めて作りました。原子スイッチは、固体内でイオンが動き、電気が通るフィラメントの生成・消失を制御して動作します。この素子の動作原理を解明し、従来の半導体にはない新しい特性や機能を探索しています。
2.1 原子スケールでのイオン移動と電気化学反応の制御
硫化銀(Ag₂S)は、銀イオンと電子のどちらも動くことができる特別な材料です。これを走査型トンネル顕微鏡(STM)の探針として使います。このAg₂Sの探針と白金の基板の間にかける電圧の向きや強さ、流す電流の大きさを変えることで、Ag₂S探針の先端にとても小さな銀(Ag)の突起ができたり、逆に小さくなったりします(図2)。
この現象は、固体の中で起きる電気化学反応によるものです。Ag₂S探針と白金基板の間は1ナノメートル(1nm)ほどとかなり近いので、基板側にマイナスの電圧をかけると、基板から探針のほうに電子が流れます。このとき、Ag₂S探針の先端近くにいる銀イオン(Ag⁺)は電子によって還元されて銀原子(Ag)になります。できた銀原子はAg₂Sの中では安定しないため、表面に出てきて突起を作ります(図2(a))。
逆に、電圧の向きをプラスにすると、今度は探針の先端の銀突起から基板へ電子が流れるようになります。このとき銀突起の中の銀原子は酸化されてイオン(Ag⁺)になり、Ag₂Sの中に戻ります。その結果、突起は小さくなり、消えてしまいます(図2(b))。
この銀の突起を大きくしたり小さくしたりする現象を利用して、とても小さなスイッチ(ON/OFF)が作れることが分かりました。

2.2 ギャップ型原子スイッチの創製
STMによるトンネル電子を使って、局所的なイオンの移動や電気化学反応を制御する基礎実験に基づき、数個から数十個の原子(イオン)が動くことで機能する「原子スイッチ」と呼ばれる超小型のスイッチ素子を開発しました。この原子スイッチは、半導体素子の製造で使われている精密な加工技術によって作られています。
実際に作製した原子スイッチの電子顕微鏡写真と構造の図が図3(a)(b)に示されています。その構造は、Ag(銀)細線、Ag₂S(硫化銀)細線、約1nmほどのとても薄いAg薄膜、そしてPt(白金)細線(電極)を重ね合わせたクロスバー構造になっています。
このデバイスでは、Pt電極に正の電圧をかけると、Ag薄膜が酸化してAgイオンになり、Ag₂S細線の中に取り込まれることで、Ag薄膜が消えます。これによって、Pt電極とAg₂S細線の間に微小な隙間(ギャップ)ができます。この状態では、1nmほどのギャップをトンネル電子が流れますが、電気抵抗は高く、数MΩから数十MΩほどになります。
次に、Pt電極に負の電圧をかけると、トンネル電子がPt電極からAg₂S細線へ流れます。そして、ある程度以上の電圧と電流が加わると、Ag₂S細線に含まれるAgイオンが還元され、Agの突起として表面に現れます。これによって、Pt電極とAg₂S細線の隙間にAg(銀)の架橋ができ、電気抵抗が大きく下がって、数キロオームから数十オーム程度になります(図3(b))。
さらに、電極にかける電圧の極性を再び正にすると、Agの架橋は再びAgイオンとなってAg₂S内に溶け込み、架橋が消えてしまいます。こうして、このギャップ型原子スイッチはON/OFFの切り替え動作が可能となります。(図4)

2.3 様々な機能の発現
ギャップ型原子スイッチは、単なるスイッチとして使うだけでなく、さまざまな応用が期待されています。たとえば、「量子化伝導」という特別な現象が現れることや、その仕組みを利用した多値メモリ、計算をするための論理ゲート、ナノ万年筆、シナプス素子、意思決定素子などへの応用が考えられています。
量子化伝導の現象は、プラスとマイナスの電圧を細かく調整しながらトンネル電流を流し、それによって電気化学反応をコントロールすることで見つかりました。具体的には、Ag電極/Ag2S/ギャップ/Pt電極という構造の原子スイッチで、Pt電極とAg電極の間に銀(Ag)の突起がゆっくり伸びるようごく小さな電圧をかけます。すると、銀の突起がゆっくり育って、Pt電極と点で接触する「点接触」という状態になります。この点接触は、原子レベルで細かく調整できるため、量子化伝導という特殊な電気の流れが現れます。この現象を使えば、多値メモリ(1つのメモリセルで複数の状態を記録できるメモリ)を作ることもできます。
例えば、Ag電極/Ag2S/ギャップ/Pt電極の配列(クロスバー構造)で、2つの交差ポイントに原子スイッチをつくります。各スイッチは、電圧を細かく調整することで量子化伝導を示します。また、その状態に、適切な極性と強さの電圧パルスを与えると、点接触の状態が変わって量子数(量子化された伝導の段階)を自由に切り替えることができます。図5では、とくに量子数0から3までの4つの状態を持つ原子スイッチが2個並んでいて、合計16通りの状態が得られることを説明しています。これによって、多値メモリの開発が可能になります。
また、「ナノ万年筆」とは、図6(a)のようにAg2S材料のSTM探針(走査型トンネル顕微鏡の先端)を使い、探針と基板の間に適切な電圧をかけることで、探針先端から連続してAg原子を基板上に移動させ、細い金属線を描くことができる技術です。つまりSTM探針自体が「ナノ万年筆」となり、インクはAg2Sの中を動くAgイオンです。こうした極細のナノペンを使えば、試料の表面に自由な形の金属原子細線を描くことができます(図6(b)参照)。


2.4 接合型原子スイッチ
私たちは、金属/絶縁体/金属(MIM)構造内で、金属原子の架橋を作ったり溶けたりする仕組みを利用した原子スイッチについて研究しています。この素子は、スイッチが「入る」(ON)、「切れる」(OFF)といった動作を、いろいろな材料や構造で調べることができます。また、絶縁膜には無機材料や有機材料も使い、スイッチの高速動作、絶縁膜が水分をどれだけ吸うか、ナノスケールでの電気の流れ方、神経回路のような働きなど、さまざまな特性も明らかにしています。
特に、Ta₂O₅という材料を使ったCu/Ta₂O₅/Pt構造に注目しています。この素子では、正の電圧をかけるとスイッチがONになり、逆に負の電圧をかけるとスイッチがOFFになる仕組み(バイポーラ型抵抗スイッチ動作)が分かりました。ONになるときは、電圧によりCu電極の酸化反応でできたCuイオンがTa₂O₅絶縁膜の中を動いて、Pt電極のところでCu金属として戻り架橋ができます。OFFになるときは、その架橋が熱などで壊れて消え、Cuが元の電極に戻ります。これらの動きを詳しく観察し、イオンの濃度や動きやすさも評価できました。(図8)さらに、Ta₂O₅絶縁膜が湿気を吸うとスイッチの動作にどんな影響が出ることも明らかにしました。(図9)


Reference
- [1] T. Tsuruoka et al., J. Electroceram., 39(2017) 143 Operating mechanism and resistive switching characteristics of two- and three-terminal atomic switches using a thin metal oxide layer | Journal of Electroceramics | Springer Nature Link
- [2] T. Tsuruoka et al., Adv. Funct. Mater., 22(2012) 70 https://doi.org/10.1002/adfm.201101846
2.5 高分子電解質を用いた原子スイッチ
私たちは、有機絶縁体材料を使っても原子スイッチが動作することを実証しました。具体的には、リチウムイオン電池の材料として知られるポリエチレンオキシド(PEO)に、過塩素酸銀(AgClO₄)を数%加えた高分子電解質(SPE)膜を使いました。このSPE膜を用いたMIM構造では、金属酸化物の場合と同じように、金属架橋の形成や溶解によって抵抗スイッチの動作が観測できました。
さらに、高分子の柔軟な性質を生かして、プラスチック基板にインクジェット印刷でSPE膜を塗布し、原子スイッチ素子を作製しました。その結果、基板を曲げても安定して動作することが確認できました(図10)。この成果は、原子スイッチをフレキシブルエレクトロニクス分野に応用できる可能性を示しています。

2.6 原子スイッチ型シナプス素子
近年のAIの急速な発展に伴い、低消費電力で動作する次世代AIハードウェアが求められています。私たちは自然知能のように低い消費電力(~20 W)で高度な情報処理能力を有するニューロモルフィックデバイスの開発を行っています。シナプス素子はその最たる例の一つで、神経回路網で見られる、外部刺激に対する可塑性を表現することができます。 たとえば、Ag/Ta2O5/PtやAg/PEO/Pt接合型原子スイッチでは、金属架橋の形成と溶解を利用する原子スイッチ特有の量子化コンダクタンスとシナプス的な振る舞いを示します。図11(左)は、Ag/Ta2O5/Pt素子に正のパルス電圧(0.3〜0.7V, 20ms幅)を連続的に印加したときの素子のコンダクタンス応答です。パルスの時間幅や電圧値を調整することによって、素子コンダクタンスをステップ状に増大させることができます。反対に、負のパルス電圧を印加すると、素子コンダクタンスはステップ状に減少し、最終的に元のOFF状態に戻ります。この振る舞いは繰り返し観測することができます。
素子のコンダクタンス状態は入力電圧パルスの時間間隔が振幅によって大きく変化します。図11(中)(右)はAg/Ta2O5/Pt素子に入力頻度の異なる電圧パルス列を印加したときの素子コンダクタンスです。長い時間間隔では、コンダクタンスはパルス電圧印加後すぐにゼロに戻ってしまいますが、短い時間間隔でパルス入力すると、コンダクタンスは一時的な増大を繰り返しながら次第にG0の整数値に安定していき、入力後も一定時間その状態を維持することが可能となります。このような動作はトランジスタ構造でも可能であることを実証しました。印加するゲート電圧の大きさを制御することで、揮発性動作(1.5 V)か不揮発性動作(3.0 V)を選択的に実現できます(図12)。これは、ソースードレイン電極感のCu核の形成と溶解に起因し、Cu核の構造安定性により揮発か不揮発かの動作が決まっているものと考えられます。


3.全固体イオンゲート型トランジスタ
図1(c、d、e)に示すように、私たちは3つの端子を持つイオンゲート型トランジスタを作りました。この素子では、ゲート電圧をかけてイオンを動かすことで、チャネル層(機能性材料)の性質を利用して動作させることができます。また、この方法で作った固体イオニクスデバイスが、さまざまな機能を持つことも発見しています。
3.1 全固体電気二重層トランジスタと全固体酸化還元トランジスタ
図13(左)に示した全固体電気二重層トランジスタにゲート電圧が印加されると固体電解質層の中でイオン輸送が起こり、固体電解質/電子材料界面にイオンが蓄積します。この時、電子材料内では界面のごく近傍にイオンとは逆符合の電荷を持つ電子キャリアが注入されます。このように高密度のイオンと電子が対向して形成される層を電気二重層と呼びます。電気二重層によって注入される電荷量は外部電場(ゲート電圧)によって制御することが出来るため、これを利用して電子材料の電子キャリア濃度を可逆的に制御することが出来ます。電気二重層の特徴は数十µF/cm2という非常に大きな容量にあり、静電的なキャリア制御法であるにも関わらず高濃度の電子キャリアを注入することが出来ます。化学ドープ、化学組成変化で見られる構造欠陥の導入が原理上起こらないため、例えば超伝導のような欠陥による電子構造の撹乱の影響を強く受ける電子物性に特に有効なキャリア制御方法と言えます。
図13(右)に示した全固体酸化還元トランジスタにゲート電圧が印加されると、電気二重層トランジスタと同じく固体電解質内でイオン輸送が起こりますが、イオンは電子材料内に挿入されます。挿入されたイオンによって持ち込まれた電荷を補償する形で電子キャリアが電子材料中に注入されます。このような電子キャリアの制御法を酸化還元反応と呼びます。この場合もゲート電圧によって電子キャリア濃度を可逆的に制御することが出来ますが、反応機構に比較的進行が遅い素過程が含まれる場合、不揮発的な動作が得られるという特徴があります。これは情報通信デバイスへの応用上、大変有利な性質と言えます。

3.2 電気二重層効果による物理特性制御
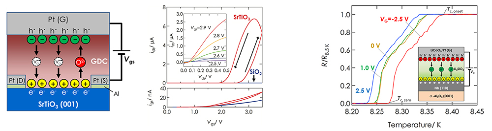
電気二重層効果による物理特性制御は電気抵抗だけでなく超伝導転移温度も制御することができます。超伝導は現代社会が直面する深刻な環境・エネルギー問題を解決する可能性を持つだけでなく、情報通信分野においても超高速・低消費電力の特徴を備える超伝導コンピュータへの応用が期待される重要な技術であり、超伝導転移温度の高温化、特に室温化は人類の究極の夢と言っても良いテーマです。私達は全固体電気二重層トランジスタを用いて絶縁体や半導体等の様々な物質に電子キャリアを注入することで、飛躍的に高い超伝導転移温度の実現を目指しています。固体電解質の候補として酸化物イオン伝導体やリチウムイオン伝導体が挙げられ、絶縁体SrTiO3と組み合わせた全固体電気二重層トランジスタによって、SrTiO3を流れるnA未満の微小な電流をμAもの大きな電流にまで大きく変調できることを実証しました。さらに、リチウムイオン伝導体と有名な金属超伝導体のNbを組み合わせた全固体電気二重層トランジスタを作製し、超伝導転移温度を変調することに成功しました。(図14)

3.3 酸化還元反応を利用した磁気特性制御
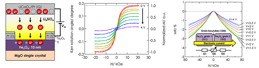
近年、様々な磁気効果(磁気抵抗効果、巨大磁気抵抗効果、トンネル磁気抵抗効果、磁気光学効果等)が情報通信デバイス、特に高容量メモリ素子に応用されています。磁気特性の新しい制御法が開発されれば、従来技術で得られない特性・性能を有する新規なメモリ素子の創出に繋がる可能性があります。そこで、図15(左)に示すようなリチウムイオン伝導体と高密度の電子キャリアを有する室温強磁性体Fe3O4を組み合わせた全固体酸化還元トランジスタを作製し、磁気特性の制御を試みました。電圧印加により1021cm-3もの高密度のリチウムイオンがFe3O4薄膜中に挿入されることで同密度の電子キャリアが電荷保証として注入され、Fe3O4のスピン数が変調され、可逆的に自発磁化や磁気抵抗効果が制御されています(図15(中)(右))。さらに、Fe3O4薄膜の結晶成長方位を制御することで、図16に示すように、磁化の向きも変化していることを突き止め、室温で56°もの磁化回転を達成しました。この結果は、磁場を必要としない低消費電力なスイッチング可能なメモリ素子としてだけでなく、イオンと磁化の複雑なダイナミクスを利用したニューロモルフィックデバイスへの応用が期待されます。


3.4 全固体酸化還元シナプストランジスタ
シナプス的動作をする全固体酸化還元トランジスタのために、InとZnからなる酸化物(IZO)をチャネルとしプロトン伝導体Nafionと組み合わせ、全固体酸化還元シナプストランジスタを作製し、動作実証を行いました(図17(左)(中))。パルス状のゲート電圧を印加することでIZOチャネルとNafionの間のプロトンの挿入・脱離(酸化・還元)を利用してチャネルコンダクタンスを制御できます。パルス電圧を印加することでチャネルコンダクタンスは増加します。パルス幅と間隔を短くすることでコンダクタンスが初期状態に戻る短期記憶、パルス幅と間隔を長くすること増加したコンダクタンス状態が一定時間保持される長期記憶状態を実現できました(図17(右))。短記憶状態はIZOチャネル中へのプロトン拡散が寄与し、長期記憶状態はNafion中のプロトン拡散が寄与しています。

リチウム固体電解質を利用したトランジスタもアナログコンピューティングのためのハードウェアニューラルネットワーク実現のために有望な材料であり、さまざまなリチウム電解質とチャネル材料で研究されています。特にLiCoO2はリチウムイオン電池の電極としても有望な材料で、シナプストランジスタのチャネルとして使われています。私たちは、LiCoO2のCo3+サイトにMg2+を部分的に置換することで、パルス入力に対する電気伝導度応答はLiCoO2の時に見られた非線形性を大幅に抑制することに成功しました(図18(a)-(c))。これを利用して、入力層・隠れ層・出力層からなる全結合型ニューラルネットワークの手描き文字認識の正答率を評価しました(図18(d))。LiCoO2チャネルのトランジスタの正答率65%に対して、Mg2+を置換したLiCoO2チャネルのトランジスタの正答率は79%であり、大幅な計算性能向上に成功しただけでなく、エポックごとのばらつきも小さくなり信頼性も向上しました(図18(e),(f))。全固体酸化還元シナプストランジスタにおける元素置換はニューロモルフィックシステムの性能向上に非常に有効であることを実証しました。

4.キャパシタ素子
固体電解質内のイオン輸送によって生じる電気二重層や電気化学反応を利用した小型・高容量の電気化学キャパシタを開発している。
4.1 電気化学キャパシタ
Pt/リン酸窒化リチウム(LiPON)/Pt構造におけて、Liイオンの輸送を利用した可変容量機能を実証した(図19)。この容量は主に、低周波数領域においてはLiPONとPtの界面で形成される電気化学的二重層(EDL)に起因する。電圧印加により、正にバイアスされた電極から負にバイアスされた電極へリチウムイオンが移動する。高電圧域では、正極におけるリチウムイオン数がゼロに減少するため、総電気二重層容量への寄与が消失する。その結果、LiPONコンデンサは電圧バイアスが増加するにつれて容量が減少する挙動を示し、バラクタダイオードで見られる特性と類似している。容量変動の上限周波数は温度上昇に伴い増加し、これはLiPON中のイオン伝導度によって決定されると考えられる。また、LiPONコンデンサをRC発振回路に組み込むことで、電圧制御発振器(VCO)動作も実証された。このVCOは、入力直流電圧の増加に伴い出力波形の振動周波数が指数関数的に上昇することを明確に示しており、この挙動はバラクタダイオードベースのVCOと同様である。これらの結果は、このイオンコンデンサがアナログおよび混合信号電子回路の構成要素として使用可能であることを示唆している。

5.視覚素子
従来のようなソフトウェア中心のエッジ画像検出ではなく、ハードウェアを活用して小型で消費電力が少ないエッジ画像検出ができる視覚素子を開発している。
5.1 知覚イオニクス素子
側方抑制は網膜ニューロンで観察される現象であり、エッジ知覚を強化し視覚画像のコントラストを高める。ハードウェアによる側方抑制の実証として、我々のグループはリチウムイオン移動駆動型マルチチャネル素子を提案した(図20)。この素子では、一次元(1D)リチウムコバルト酸化物(LCO)チャネルがリチウムリン酸窒化物(LiPON)電解質上に配列されている。電圧パルス印加下でLiイオンが共通のLiPON電解質を介してLCOチャネル間を移動するため、隣接チャネル間で興奮/抑制挙動が観察された。この特性を利用し、2次元チャネル配列構造を想定することで視覚画像のエッジ検出をシミュレートした。さらに、横方向抑制の原理を応用し実画像のエッジ検出を目的とした新規プロトン移動駆動型マルチチャネル素子を開発した。本素子は24個のインジウム亜鉛酸化物(IZO)チャネルで構成され、共通のナフィオン電解質内でのプロトン移動を介して相互接続されることでIZOチャネル間の高い相互作用性を実現している。各チャネルの導電度は、電圧パルス印加によるプロトンの挿入・脱挿入の結果として生じるチャネル内のプロトン濃度によって決定される。本素子は、中心-周辺拮抗やマッハバンド・ハーマン格子などの錯視現象など、網膜の様々な機能を明確に模倣しており、特に明暗境界領域における知覚コントラストの増強が確認された。これらの特性に基づき、我々は多チャンネル素子を用いて、イオン性材料の固有特性を活用し実画像からエッジ情報を抽出することに成功した。これらの結果は、プロトンベースの高相互作用デバイスが、ハードウェア指向型人工視覚システムの開発に関連する応用分野での利用可能性を有することを示唆している。

6.分子接合スイッチ
ギャップ型原子スイッチの金属フィラメントを利用して単一分子で動作するスイッチを開発している。
6.1 原子スイッチを利用した分子接合スイッチ
分子エレクトロニクスは、ポストシリコンエレクトロニクスへの応用可能性から注目を集めている。しかし、分子電子素子の基本構成要素である分子接合の作製には複雑な手順が必要であり、新規デバイスの効率的な開発を妨げている。我々は東京科学大学との共同研究において、酸化還元反応と金属原子の移動によって作動する原子スイッチを利用することで、簡便な作製プロセスを提案した(図21)。Ag/Ta2O5/Pt原子スイッチを真空チャンバー内に配置し、キャピラリーを通じてアセチレン分子を導入する。アセチレン雰囲気下で測定した典型的な電流-電圧(I-V)特性は、リセット後に電流プラトーを示す。原子レベルで薄い金属線の断線時の定電流特性は、機械的破断による分子接合で一般的に観測され、準安定構造の形成を示唆する。この準安定構造として最も可能性が高いのは、銀フィラメントの隙間にアセチレン分子が収容されることである。I-V曲線から構築したコンダクタンスヒストグラムは、10-1 G0付近に単一原子接点よりも低いコンダクタンスを示す広帯域状態を示す。非弾性電子トンネル分光測定と第一原理計算から、観測された伝導状態は銀フィラメント間に形成されたアセチレン分子接合に起因することが明らかとなった。本手法は原子スイッチ技術に基づく単一分子素子の開発への道を開き、異なる分子接合や原子スイッチの統合を可能とする。

7.原子層堆積(ALD)法
ALD法は、原子のレベルでとても薄い膜を作ることができる先進的な技術です。この技術はナノデバイスの構築において重要な役割を果たすことが期待されています。私たちは、このALD法を使ってさまざまなナノデバイスを開発している。
7.1 ALD法による固体電解質膜の作成
イオン伝導体薄膜は、イオン電池や燃料電池の重要な構成要素であるだけでなく、ナノイオニクスおよび情報技術素子の必須部品でもある。固体電解質薄膜の製造には高周波スパッタリングやパルスレーザー堆積法が用いられる。しかし、これらの技術では三次元(3D)マイクロ電池や集積回路上に均一な薄膜を形成することが困難である。近年、ALD法が、原子レベルの精度で複雑な構造体上にピンホールのない均一な固体電解質薄膜を形成可能な技術として注目されている。我々は、マイクロ電池およびニューロモーフィックデバイスにおける固体電解質(SSE)としての潜在的な利用を視野に、高品質なリン酸窒化リチウム(LiPON)薄膜の作製に関連して、リン酸リチウムのプラズマ補助ALD法におけるプラズマ反応剤の影響を調べた(図22)。本ALDプロセスでは、リチウム前駆体としてリチウムtert-ブトキシド(LuOtBu)、リン前駆体としてトリス(ジメチルアミノ)ホスフィン(TDMAP)を用い、220-300℃の成膜温度範囲でリン酸リチウム母体への窒素導入を実現した。O2プラズマでは、比較的整列したピロリン酸構造を有する多結晶リン酸リチウム膜が成膜される。一方、アルゴンまたはNH3プラズマを使用すると、ピロリン酸塩とオルトリン酸塩が混合したアモルファスLiPON膜が得られる。NH3流量が増加すると窒素組成は約13%まで上昇するが、残留炭素は数%以下に抑えられる。NH3プラズマを用いて300℃で成膜したLi2.5PO1.9N0.8薄膜のイオン伝導度は、25℃で1.65±0.42×10-6 S/cm、活性化エネルギー0.66 eVと測定された。この伝導度は、これまでに報告されているALD法によるLiPON薄膜の中で最高値である。我々のALDプロセスは、リン酸窒化物マトリックスの分子構造を高度に制御可能であり、高いイオン伝導性を示すため、高性能Li SSE薄膜の実現に適している。

Reference