MANA International Symposium 2025


Quantum Materials - 06

Title

Anisotropic transport properties of atomically thin superconductors with Josephson vortices

Author's photo

Authors

Wenxuan Qian, Ryohei Nemoto, Shunsuke Yoshizawa, Takashi Uchihashi

Affiliations

Surface Quantum Phase Materials Group, MANA, NIMS

URL

https://www.nims.go.jp/group/surface-quantum-phase/en/index.html

Abstract

Atomically thin superconductors have attracted a lot of attention over the last decade for their exotic properties, such as tunable interfaces, novel quantum phases, and possibilities for future applications. On these materials, Josephson vortices are formed at atomic steps under the application of magnetic field. [1,2] But their effects on the electron transport properties have not been reported yet. Here we present the transport properties of atomically thin crystalline superconductors with current flowing parallel and perpendicular to the atomic steps.

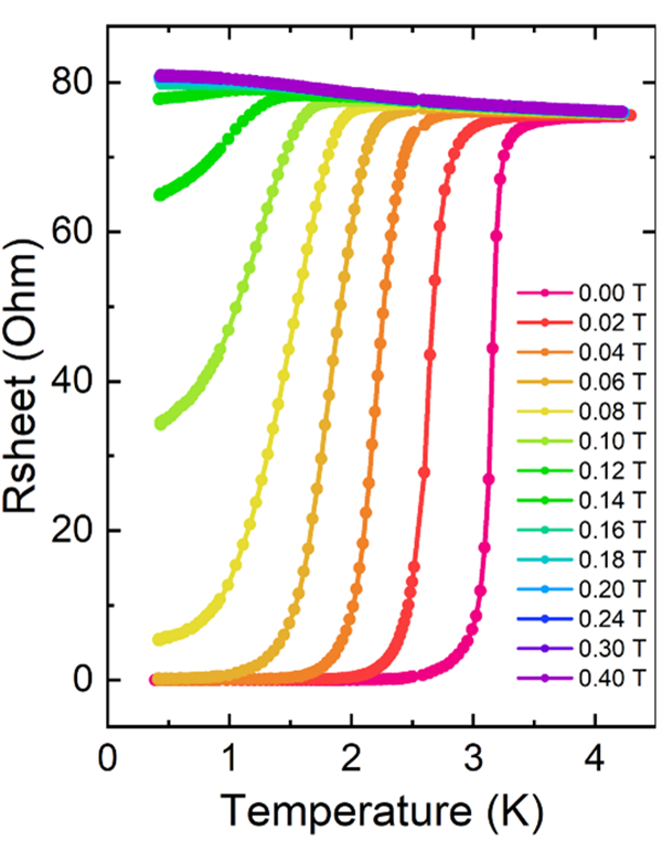
The target atomically thin superconductor, Si(111)-(√7×√3)-In, was carefully fabricated on the a silicon substrate with intended atomic steps, then bias currents were applied in the parallel and perpendicular directions with respect to atomic steps. Under controlled magnetic fields, the studied material showed anisotropic behaviors when cooled to 0.4 K. Data analysis based on the thermally activated flux flow model was conducted [3], which clarifies anisotropic activation energies for vortex motions. At low magnetic fields (Ba < 0.1 T), the result is consistent with expected behaviors of Josephson vortex.

As an undergoing research, silicon substrates with different miscut angles are also applied to control the trapping energy of Josephson vortex. The result suggests the importance of the size of vortex relative to the step distance.

Fig. 1 RT dependence of sample, with current perpendicular to atomic steps
Fig. 2 RT dependence of sample, with current parallel to atomic steps

Reference

  1. Y. Sato et al., Phys. Rev Lett 130, 106002 (2023).
  2. S. Yoshizawa et al., Phys. Rev Lett 113, 247004 (2014).
  3. Y. Saito et al., Science 350, 6259 (2015).