Joint Workshop LANL/NIMS Quantum and Functional Materials and MANA International Symposium 2024
Session 4-1
Abstract
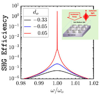
Current nanofabrication technologies enable the precise integration of semiconductor quantum emitters, such as quantum dots or nanoplatelets, with metal nanoparticles exhibiting tunable surface plasmon resonances. This integration allows for control over interaction pathways between quantum emitters and plasmonic modes, leading to new functionalities essential for on-chip optoelectronic devices.


Reference
- J. A. Hollingsworth, H. Htoon, A. Piryatinski, S. Götzinger, and V. Sandoghdar, MRS Bulletin 40, 768 (2015). DOI: 10.1557/mrs.2015.200
- M. Sukharev, O. Roslyak, A. Piryatinski, J. Chem. Phys. 154, 084703 (2021). DOI: 10.1063/5.0037453
- S. A. Shah, M. R. Clark, J. Zyss, M. Sukharev, A. Piryatinski, Optics Lett. 49 1680, (2024). DOI: 10.1364/OL.515621